گروه علمی فرهنگی سیمرغ

دانشگاه صنعتی شریف - دانشکده مهندسی هوافضا

گروه علمی فرهنگی سیمرغ

دانشگاه صنعتی شریف - دانشکده مهندسی هوافضا

گروه علمی فرهنگی سیمرغ

سایت گروه علمی فرهنگی سیمرغ
(سایت در مرحله ی آزمایشی می باشد )
gefs


"کپی کردن مطالب باذکر منبع بلا مانع است"

تلاطم سیال در مخازن حامل ها (2)

چهارشنبه, ۲۷ آذر ۱۳۹۲، ۱۲:۰۳ ق.ظ

در بخش قبل،علل پیدایش تلاطم سیال و برخی از مطالعات انجام گرفته در این زمینه بیان شد؛ در این بخش روشهای استخراج میرایی بررسی می شود.



1- روشهای استخراج میرایی
میرایی کمیتی است که اتلاف انرژی در یک سیستم دینامیکی را بیان می کند. اتلاف انرژی در دیواره و سطح آزاد سیال به علت لایه های مرزی ویسکوز و در داخل سیال به علت تنشهای ویسکوز رخ می دهد. در مخازن کوچک، اتلاف انرژی در لایه های مرزی غالب است؛ امادر مخازن بزرگ، اتلاف انرژی در داخل سیال سهم بیشتری دارد.
میرایی با استفاده از یکی از سه روش متداول آزمایش[1]، حل عددی[2]، حل تحلیلی بر مبنای نتایج تجربی[3] به دست می آید. از جمله روش های موجود در حل عددی، روش اجزای محدود[4]، روش اجزای مرزی[5] و روش تفاضل محدود[6] می باشند. این روش ها بر مبنای معادلات ناویر استوکس می باشند که این معادلات با حذف عبارت های بیان کننده ویسکوزیته سیال به معادلات اویلر تبدیل می شوند. برای ساده سازی بیشتر با حذف پارامترهای بیان کننده چرخش سیال، معادلات پتانسیل به دست آمده و مبنای حل می شوند.

همانطور که اشاره شد روش دیگر تخمین میرایی، آزمایش است. در نوسان آزاد سیال در یک مخزن ساکن، انرژی ورودی وجود ندارد و دامنه تلاطم به علت اتلاف انرژی کاهش می یابد. این کاهش دامنه توسط کاهش لگاریتمی  به صورت رابطه 1 بیان می شود [5]:


(1)                                                      



[1] Experiment

[2] Computational Fluid Dynamics (CFD)

[3] Empirical method

[4] Finite Element Method

[5] Boundary Element Method

[6] Finite Difference Method


رابطه 1 برای تخمین میرایی در حالت آزمایشگاهی کاربرد دارد؛ البته روشهای مختلفی جهت یافتن میرایی با استفاده از آزمایش وجود دارد که در بخش بعد به تفصیل بیان می شوند.
روش حل عددی و آزمایش، مشکل پر هزینه بودن و زمان بر بودن را دارند به همین علت علاوه بر روش های ذکر شده، میرایی با استفاده از حل تحلیلی بر مبنای نتایج تجربی به دست می آید.
در یک سیستم خطی که در آن نیروی بازگرداننده[1] متناسب با دامنه جابجایی است، کل انرژی نوسان در ماکزیمم دامنه هر سیکل متناسب با مربع دامنه است؛ بنابراین میتوان رابطه کاهش لگاریتمی (1) را به صورت زیر نوشت:

(2)                                                                                                         

                                                     

   (3)                                                                        
                                                                                                                                 

نسبت میرایی واقعی[2]، به میرایی بحرانی[3] با  بیان می شود. براساس مطالعات اِسکَنلِن و رُزنبام [13] برای مقادیر کمرابطه زیر برقرار است:                                                                                                 

(4)                                                 

                             



[1] Restoring Force

[2] Actual Damping

[3] Critical Damping


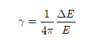
نسبت میرایی  را میتوان بر حسب انرژی با جایگذاری رابطه 3 در رابطه 4 به صورت رابطه 5 به دست آورد:

(5)                                                       

                                                                                                                                     

میتوان برای مخزن استوانه ای، رابطه تخمین میرایی 5 را به صورت رابطه 6 بیان نمود.

(6)                                                             

                                                                                                                                     

همانطور که عنوان شد یکی از روشهای تخمین میرایی، آزمایش است؛ در ادامه چند روش رایج تخمین میرایی با استفاده از این روش بیان می شود.

2- روشهای انجام آزمایش میرایی
در ادامه چهار روش تخمین میرایی به تفصیل بیان می شود:
·        روش پاسخ دامنه موج

·        روش زوال دامنه موج

·        روش زوال نیروی موج

·        روش اعمال نیرو



1-2- روش پاسخ دامنه موج[1]

در این روش از تکنیک پهنای باند برای به دست آوردن نسبت میرایی استفاده می شود. مخزن در یک دامنه تحریک ثابت در محدوده فرکانسی که شامل فرکانس تشدید مود غالب تلاطم است، تحریک می شود. یک نمونه منحنی داده ها در شکل 1 آمده است.

 

رابطه زیر بیان کننده نسبت میرایی است:


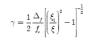
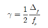
(7)                                                             

                                                                          

(8)                                     

[1] Wave Amplitude Response Method


نسبت های میرایی به دست آمده از این روش تنها در صورتی قابل اطمینان است که فرکانس های تشدید نوسان سیال به هم نزدیک نباشند. برای یک سیستم خطی، ممکن است نیروهای عرضی به جای دامنه تلاطم به کارروند.


2-2- روش زوال دامنه موج[1]

در این روش زمانیکه دامنه تلاطم سیال مورد نظر به حالت پایدار در می آید، تحریک متوقف می شود. بعد از متوقف شدن تحریک، ارتفاع موجهای سطح آزاد سیال در دیواره مخزن اندازه گیری می شود. از نسبت ارتفاع موج های متوالی، نرخ کاهش لگاریتمی و نسبت میرایی به دست می آید. در شکل 2 یک نمونه تست برای چهار عرض مختلف تیغه حلقوی با استفاده از روش کاهش لگاریتمی نشان داده شده است. به علت مشکل بودن تحریک مود اصلی در محدوده میرایی بیشینه، شکل در این محدوده مشکوک می باشد؛ به همین علت این محدوده نامطمئن به صورت خط تیره نشان داده شده است. باید توجه داشت که شکل عمومی منحنی ها شبیه به هم می باشند.



[1] Wave Amplitude Decay Method


با فرض خطی بودن سیستم، کاهش لگاریتمی به صورت رابطه 9 بیان می شود:
(9)                                                                   


3-2- روش زوال نیروی موج[1]

در این روش، مخزن در فرکانسی نزدیک به فرکانس تشدید مود اصلی تلاطم تحریک می شود. حرکت مخزن پس از رسیدن به ارتفاع مشخص موج و لنگر انداختن محور اعمال نیرو، ناگهان متوقف می شود. نیرو (گشتاور) در محور اعمال نیرو ثبت می شود. اگر سیستم خطی فرض شود، دامنه موج متناسب با دامنه نیروی (گشتاور) بیشینه خواهد بود. از نسبت نیروهای بیشینه (گشتاورهای بیشینه) متوالی، نسبت میرایی بر حسب گشتاور به شکل رابطه 10 به دست می آید:

(10)                                     

4-2- روش اعمال نیرو[2]

در این روش مخزن در نزدیکی فرکانس اول تلاطم سیال به صورت افقی تحریک می شود. بعد از به دست آمدن حالت پایدار تلاطم، نیروی اعمالی در اتصال اعمال کننده نیرو اندازه گیری می شود. انرژی ورودی به مخزن از طریق اندازه گیری نیروی اعمالی اندازه گیری می شود. کل انرژی حرکت با استفاده از تئوری کلاسیک با محاسبه دامنه تلاطم در دیواره مخزن به دست می آید. با مقایسه انرزی اتلاف شده به کل انرژی داده شده به مخزن، نسبت میرایی محاسبه می شود.
 


نظرات  (۱)

خدا قوت فقط اینکه تصاویرش معلوم نیست اصن بالا نمیاد!
پاسخ:
ظاهرا مشکل برطرف شد
ممنون که خبر دادید

ارسال نظر

ارسال نظر آزاد است، اما اگر قبلا در بیان ثبت نام کرده اید می توانید ابتدا وارد شوید.
تجدید کد امنیتی