تلاطم سیال در مخازن حامل ها (3)
پنجشنبه, ۵ دی ۱۳۹۲، ۰۱:۴۰ ق.ظ
در بخش های قبل، علل پیدایش تلاطم سیال و روشهای استخراج میرایی بحث شد؛ در ادامه میرایی ویسکوز در مخازن سیال بررسی می شود.
1- میرایی ویسکوز در مخزن سیال
در مخزن سیال فاقد تیغه میراگر، تلاطم سیال
توسط تنش های ویسکوز میرا می شود. هر چند تنش ها به صورت تئوری قابل محاسبه می
باشند ولی اکثرا از نتایج آزمایش به دست می آیند. تمامی روابط میرایی به مود اصلی
تلاطم مربوط است و از آنجا که این میرایی منحصرا ناشی از اثرات ویسکوز است (حداقل
وقتی که اثرات کشش سطحی کم است)، تحلیل های بی بعد بیانگر اثرپذیری این میرایی از
شکل مخزن، ارتفاع پرشدگی سیال در مخزن و پارامتر بی بعد می باشد [5].
معادل با عکس عدد رینولدز است:
اکثر روابط میرایی موجود با استفاده از آزمایش
مدل مقیاسی[1] به دست آمده اند. براساس مطالعات آبرامسون [5] در صورت یکسان بودن
در مدل مقیاسی و مقیاس کامل، ضریب میرایی به دست آمده از آزمایش مخازن کوچک دقیقا در
مخازن بزرگ تکرار می شوند. معمولا
در مدل مقیاسی، بزرگتر از
در مقیاس کامل می باشد؛ علت این امر کوچکتر بودن
مقدار L در مدل مقیاسی می باشد. در صورتی که
در مدل مقیاسی و مقیاس
کامل به اندازه مناسب کوچک باشند، مقدار میرایی حاصل قابل مقایسه می باشد؛ در غیر این
صورت سهم نسبی اتلاف در لایه های مرزی و ویسکوزیته سیال متفاوت
خواهد بود. به همین علت به هنگام بسط روابط مدل مقیاسی به مدل کامل، خطاهایی به
وجود می آید.
مطالعات زیادی برای استخراج روابط میرایی
ویسکوز در مخازن با هندسه مختلف انجام شده است. اختلاف کوچکی در روابط حاصل از این
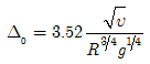
مطالعات وجود دارد که علت آن، روشهای مختلف استخراج میرایی می باشد. به عنوان نمونه میرایی سیال در مخازن استوانه ای قائم در ادامه بررسی می شود. میکیشف[2] و درازیکین[3] [16] براساس آزمایش، رابطه 2 را استخراج نموده اند:
[1] Scale Model Test
[2] Mikishev
[3] Dorozhkin
(3)
مطالعه مشابه دیگری توسط استیفنز[1] و همکارانش [17] انجام شده است که به استخراج رابطه 4 منتهی شده است:
(4)
در صورتی که ارتفاع سیال زیاد باشد، رابطه 4 به صورت رابطه زیر
به دست می آید:
(5)
رابطه دیگری توسط کیس[2] و پارکینسون[3] [18] براساس کاهش لگاریتمی به صورت زیر بیان شده است:
(6) [1] Stephens
[2] Case
[3] Parkinson
که در آن
ضریب میرایی می باشد که در بخشهای قبل توصیح داده شده است.
در صورتی که ارتفاع سیال زیاد باشد، رابطه 6
مستقل از عمق سیال بوده و به صورت زیر به دست می آید:
(7) 
تفاوت عددی در روابط موجود بسیار کم است.
در شکل 1 وابستگی
میرایی به عمق سیال در مخزن استوانه ای قائم با شعاع مخزن 1.5 و 3 اینچ از طریق آزمایش به دست آمده و با
مقادیر رابطه تحلیلی 6 مقایسه شده است.
میرایی حاصل از اثر ویسکوز در مخازن نسبتا بزرگ هم
مقدارکمی است. به عنوان مثال مقدار
میرایی در مخازن با قطر یک متر در حدود 0.01 و یا کمتر از آن می باشد؛ این در
حالیست که معمولا سیستم کنترل وضعیت موشک ها و فضاپیماها
برای حفظ پایداری به مقدار میرایی بیش از 0.01 نیازمند است. به همین علت باید با
استفاده از روشهای دیگر اقدام به افزایش میرایی در مخازن سیال کرد.
ادامه دارد...
۹۲/۱۰/۰۵