تلاطم سیال در مخازن حامل ها (10)
در مطلب پیشین، بخش اول استخراج رابطه میرایی تلاطم سیال برای تیغه حلقوی در مخزن استوانه ای بیان شد. در این مطلب، بخش دوم روند استخراج روابط بررسی می شود.
میرایی به دست آمده از تیغه های حلقوی برای اولین بار توسط مایلز [64] و پس از آن توسط بائر [65] مورد بررسی قرار گرفت. روش به کاررفته در این مطالعات، بر مبنای نیروی پسای اعمالی از طریق یک صفحه مسطح به جریان نوسانی است.
با توجه به فرض در نظر گرفته در شکل 1، سیال در مود اصلی تلاطم نوسان کرده و جهت جریان عمود بر تیغه می باشد.
علاوه بر فرضیات فوق و فرضیات بیان شده در بخش معادلات میدان سیال، سایر فرضیات در نظر گرفته شده عبارتند از:
1.
تئوری جریان
پتانسیل خطی، جریان و فرکانس را جز در ناحیه ای نزدیک به تیغه به خوبی بیان می
کند.
2. جریان محلی در مجاورت تیغه حلقوی، از سطح آزاد و کف مخزن تاثیر نمی پذیرد.
لازمه ارضاء فرضیات فوق این است که تیغه درصد کمی از سطح مقطع مخزن را اشغال کند؛ همچنین تیغه خیلی نزدیک به سطح آزاد سیال و یا کف مخزن قرار نگیرد.
مقدار میرایی با استفاده از رابطه 1 و با محاسبه مقدار انرژی مکانیکی و نرخ اتلاف انرژی به دست می آید.
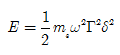
انرژی کل تلاطم سیال مورد استفاده در رابطه 1 برابر با جمع انرژی پتانسیل و جنبشی لحظه ای می باشد که این مقدار برابر با ماکزیمم انرژی جنبشی است. مقدار انرژی جنبشی با استفاده از مدل مکانیکی معادل تلاطم سیال (مدل نوسانی جرم- فنر) به دست می آید:
(2)

می توان رابطه 2 را به شکل رابطه 3 نوشت:
(3)
در یک تیغه عمود بر جریان، بیشترین انرژی از طریق پسای فشاری تلف می شود. نیروی پسای لحظه ای برابر با رابطه زیر است:
نرخ اتلاف انرژی لحظه ای برابر با حاصلضرب نیروی پسا در سرعت می باشد؛ سپس از نرخ اتلاف انرژی لحظه ای، متوسط زمانی حول یک سیکل تلاطم سیال و متوسط مکانی حول محیط مخزن گرفته می شود. با میانگین گیری از نرخ اتلاف انرژی، رابطه زیر به دست می آید [5]:
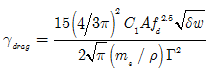
(5)با قرار دادن روابط 3 و 5 در رابطه 1، نسبت میرایی به صورت رابطه 6 به دست می آید:
که در آن
مستقل از دامنه و فرکانس تلاطم سیال بوده و عددی ثابت است. همانطور که از رابطه 6 مشخص است نسبت میرایی متناسب با دامنه تلاطم سیال است. البته در حالت کلی
ثابت نبوده و وابسته به خصوصیات جریان نوسانی است.
3- ضریب پسا
ضریب پسا برای صفحه
ای که در جریان سیال نوسانی قرار گرفته با استفاده از آزمایش کیلگن[1] وکارپنتر[2] [66] به صورت زیر به
دست می آید:
(7)
در حالت خاص، زمانیکه ارتفاع
سیال به صورت قابل توجهی بزرگتر از شعاع مخزن می باشد
، مقادیر بیان شده در رابطه
9 قابل استفاده دررابطه 8 می باشند.
(9)
با جایگذاری مقادیر رابطه 9 در رابطه 8 و ساده سازی عبارات، رابطه زیر به دست می آید:
جمله توانی در رابطه 10 نشان می دهد که با زیاد شدن عمق قرارگیری تیغه نسبت به سطح آزاد سیال، نسبت میرایی کاهش می یابد. برخلاف میرایی ویسکوز، میرایی به دست آمده از تیغه حلقوی غیر خطی است و به دامنه تلاطم وابسته است.
[5] H. N. Abramson, "The Dynamic behavior of liquids in moving containers," NASA SP 106, 1966.