گروه علمی فرهنگی سیمرغ

دانشگاه صنعتی شریف - دانشکده مهندسی هوافضا

گروه علمی فرهنگی سیمرغ

دانشگاه صنعتی شریف - دانشکده مهندسی هوافضا

گروه علمی فرهنگی سیمرغ

سایت گروه علمی فرهنگی سیمرغ
(سایت در مرحله ی آزمایشی می باشد )
gefs


"کپی کردن مطالب باذکر منبع بلا مانع است"

پرتاب ماهواره و قرارگیری در مدار (4)

جمعه, ۸ فروردين ۱۳۹۳، ۰۵:۴۰ ب.ظ

در مطلب پیشین، مفاهیمی همچون خط سیر ماهواره ها عنوان شد؛ در ادامه موارد دیگری همچون قوانین کپلر بیان می شود.


 

براساس قانون جاذبه نیوتن، هر ذره[2] بدون در نظر گرفتن جرمش، تمام ذرات دیگر را با نیروی گرانشی جذب می­ کند. اندازه این نیرو با حاصل­ ضرب جرم دو ذره، رابطه مستقیم و با مربع فاصله بین دو جرم رابطه عکس دارد و به صورت زیر بیان می­ شود:

(‏1)

که در آن  و  جرم ­های دو ذره،  فاصله بین دو ذره و ثابت گرانش می ­باشد:

(2)

نیرویی که ذره ­ای با جرم ، ذره ­ای با جرم   را جذب می­ کند، برابر است با نیرویی که ذره ­ای با جرم ، ، ذره ­ای با جرم  را جذب می ­کند. بنابراین این نیروها از نظر انداره با هم برابرند ولی دارای جهت مخالف نسبت به هم می­ باشند (شکل ‏1).

 



[1] Newton’s Law of Gravitation

[2] particle


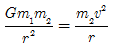
براساس قانون دوم حرکت نیوتن، نیرو برابر است با حاصل ­ضرب جرم در شتاب. به عنوان مثال، اگر سرعت مداری ماهواره ­­ای با فاصله  از مرکز زمین،  باشد، شتاب جانب به مرکز[2] ماهواره­ به صورت  می­ باشد. در این صورت اگر جرم ماهواره  باشد، نیروی عکس العمل  را تجربه می­ کند. جهت این نیروی گریز از مرکز به سمت خارج از مرکز زمین می ­­باشد و از نظر اندازه با نیروی گرانش برابر است.

در حالتی که ماهواره با سرعت یکنواخت  به دور زمین می­ چرخد، مثلا زمانی که مدار ماهواره دایروی است، معادله دو نیروی ذکر شده به صورت زیر به دست می ­آید:

(3)

که در آن  برابر است با رابطه زیر:

(4)

  جرم زمین،  جرم ماهواره و  برابراست با:

(5)

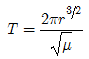
در این حالت دوره تناوبی مداری[3] به صورت زیر محاسبه می ­شود:

(6)                                                   


[1] Newton’s Second Law of Motion

[2] Centripetal acceleration

[3] Orbital period


در حالت مدار بیضوی نیز نیروهای حاکم بر حرکت ماهواره به همین شکل است. سرعت در هر نقطه از مدار بیضوی در فاصله  از مرکز زمین با رابطه زیر بیان می­ شود:

                                                                    

(7)

                

که در آن  نصف قطر بزرگ بیضی[1] می ­باشد.

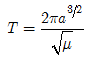
دوره تناوب مداری در مدار بیضوی به صورت رابطه 8 بیان می­شود:

(8)

      

حرکت ماهواره در مدار توسط سه قانون کپلر بیان می شود؛ که در ادامه تشریح می ­شوند.

یوهانس کپلر[2] سه قانون تجربی برای بیان حرکت سیارات ارائه کرد. این قوانین پس از آنکه نیوتن، قانون جاذبه را ارائه کرد، توجیه شد.

این قوانین برای حرکت ماهواره ­های مصنوعی و طبیعی حول زمین و یا برای هر جسم چرخنده حول جسم دیگر صدق می­ کند. در این گزارش این قوانین برای حرکت ماهواره ­های مصنوعی به دور زمین بحث می­ شود.



[1] semi-major axis

[2]Johannes Kepler


·        قانون اول کپلر:

مدار حرکت ماهواره ­ها به دور زمین، بیضی است؛ که زمین در یکی از دو کانون[1] بیضی قرار دارد (شکل ‏2).

 



مدار بیضوی با نصف قطر برزرگ بیضی  و خروج از مرکز  بیان می­ شود.

خروج از مرکز، نسبت فاصله بین دو کانون بیضی  به قطر اصلی بیضی  می­ باشد.

·         قانون دوم کپلر:

خط­ واصل هر ماهواره به زمین در زمان­های مساوی، مساحت­های مساوی را جاروب[2] می­کند (شکل ‏3).



همانطور که مشاهده می­ شود زمانی­ که ماهواره به زمین نزدیک تر است نسبت به زمانی که فاصله بیشتری از زمین دارد، با سرعت بیشتری حرکت می­ کند یعنی بیشترین سرعت مدارگردی در نقطه حضیض و کمترین سرعت مدارگردی در نقطه اوج مدار بیضوی رخ می­ دهد. به بیانی دیگر نرخ جاروب مساحت توسط بردار شعاعی هر ماهواره، مقدار ثابتی است.

·         قانون سوم کپلر:

مربع زمان تناوب چرخش هر ماهواره به دور زمین با مکعب نصف قطر بزرگ بیضی رابطه مستقیم دارد .



[1] focous

[2] sweeps out




ادامه دارد...


نظرات  (۰)

هیچ نظری هنوز ثبت نشده است

ارسال نظر

ارسال نظر آزاد است، اما اگر قبلا در بیان ثبت نام کرده اید می توانید ابتدا وارد شوید.
تجدید کد امنیتی