گروه علمی فرهنگی سیمرغ

دانشگاه صنعتی شریف - دانشکده مهندسی هوافضا

گروه علمی فرهنگی سیمرغ

دانشگاه صنعتی شریف - دانشکده مهندسی هوافضا

گروه علمی فرهنگی سیمرغ

سایت گروه علمی فرهنگی سیمرغ
(سایت در مرحله ی آزمایشی می باشد )
gefs


"کپی کردن مطالب باذکر منبع بلا مانع است"

پرتاب ماهواره و قرارگیری در مدار (6)

جمعه, ۲۲ فروردين ۱۳۹۳، ۱۲:۱۴ ب.ظ

       در مطلب پیشین بخشی از مولفه های مداری بیان شدند؛ در ادامه مواردی همچون انقلابین و اوج  بررسی می شوند.



·         انقلابین[1]:

انقلابین، زمان هایی هستند که زاویه میل مداری در حالت بیشینه خود قرار دارد مثلا در 23.5 درجه. انقلابین دو بار در سال رخ می ­دهد که یکی از آنها در 20-21 ژوئن (تقریبا اول تیر ماه) با نام انقلاب تابستانی[2] و دیگری در 21-22 دسامبر (تقریبا اول دی ماه) با نام انقلاب زمستانی[3] رخ می ­دهد.


·         اوج[4]:

اوج، نقطه ­ای در مدار ماهواره است که دورترین فاصله[5] را از مرکز زمین دارد (شکل ‏1). فاصله اوج[6] را می ­توان با خروج از مرکز[7] و نصف قطر بزرگ بیضی[8] از رابطه زیر به دست آورد:


(‏1)


                                                                  



[1] Solstices

[2] summer solstice

[3] winter solstice

[4] Apogee

[5] farthest distance

[6] apogee distance

[7] eccentricity

[8] semi-major axis


همچنین می­ توان فاصله اوج را از مقادیر فاصله حضیض[1] و سرعت در نقطه حضیض  به دست آورد:


(2)

که

(‏3)

که در آن   سرعت ماهواره در فاصله  از مرکز زمین است.


·         حضیض[2]:

حضیض، نقطه ­ای در مدار است که نزدیک ترین فاصله را نسبت به مرکز زمین دارد (شکل ‏2). فاصله حضیض را می­ توان از مقادیر خروج از مرکز  و نصف قطر بزرگ بیضی  به دست آورد.


(‏4)

                                                                                               




[1] perigee distance

[2] perigee


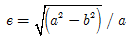
·         خروج از مرکز[1]:

خروج از مرکز ، نسبت فاصله بین مرکز بیضی و مرکز زمین به نصف قطر بزرگ بیضی می­ باشد. خروج از مرکز  را می­توان از هریک از دو رابطه زیر به دست آورد.

(‏5)

                                                                                        

(‏6)

بنابراین  می ­باشد که در آن  و  به ترتیب قطر بزرگ و قطر کوچک بیضی می ­باشند.


·         نصف قطر بزرگ بیضی[2]:

نصف قطر بزرگ بیضی، مولفه ­ای هندسی از مدار بیضوی می ­باشد که می­ توان آنرا از مقادیر فاصله اوج و حضیض به صورت زیر به­ دست­ آورد.

(‏7)



[1] eccentricity

[2] Semi-major axis



ادامه دارد...

نظرات  (۰)

هیچ نظری هنوز ثبت نشده است

ارسال نظر

ارسال نظر آزاد است، اما اگر قبلا در بیان ثبت نام کرده اید می توانید ابتدا وارد شوید.
تجدید کد امنیتی